Sensorgrösse
Enleitung
Die Sensorgrösse hat einen ganz entscheidenden Einfluss auf die Abbildungseigenschaften eines optischen Systems. In analogen Zeiten war allgemein bekannt, dass mehr Filmfläche auch gleichzeitig ein mehr an Auflösung und Schärfe bedeutete. Auch der Einfluss des Bildwinkels war einigermassen klar. Ein Normalobjektiv beim Kleinbildformat (24mm x 36mm) entsprach 50mm, beim Mittelformat (6cm x 6cm) 80mm und beim Grossformat (sagen wir einmal 4“ x 5“) etwa 150mm. Aber welchen Einfluss hatte das auf die Tiefenschärfe und warum konnte man beim Grossformat Blende 64 verwenden, beim Kleinbild aber meist nur Blende 22?
Sensor- und Pixelgrösse und Äquivalentbrennweite
Bei der heutigen Vielfalt an Sensoren verliert man sofort den Überblick. Das ist mitunter ein Grund, warum Kamerahersteller bei ihren Kompaktkameras die Äquivalentbrennweite angeben. Das ist der Brennweitenwert eines Kleinbildsystems, der einen identischen Bildwinkel abbildet wie das verwendete Objektiv am jeweiligen Sensor. Bekannt ist dieser Begriff auch bei Spiegelreflexkameras mit kleineren Bildsensoren als das Kleinbildformat, so genannten ‚reduced size sensors’. Ein weit verbreiteter Sensor ist der APS-C Sensor, dessen Kantenlängen um den Faktor 1.6 kürzer sind als im Kleinbildformat. Dieser Faktor wird Crop Faktor genannt. Man multiplizieren nun die verwendete Brennweite mit diesem Wert und erhält die Äquivalentbrennweite im Kleinbildformat. Ein 50mm Objektiv an einem APS-C Sensor entspricht also (rein vom Bildwinkel her gesehen) einem 80mm Objektiv. Die untenstehende Tabelle zeigt typische Brennweitenwerte und deren Äquivalentbrennweiten für den Crop Faktor 1.6 (APS-C), 1.33 (z.B. M8 oder APS-H) und 2 (4/3rd Sensor):

Die Äquivalentbrennweite ist also nur ein Hilfsmittel um Objektive nach den gewohnten Kriterien im Kleinbildformat zu beurteilen. Hätte man von Anfang an immer nur den Bildwinkel als Kriterium für ein Objektiv verwendet, wäre alles viel einfacher und die Objektive für verschiedene Formate bzw. verschiedene Sensorgrössen liessen sich direkt vergleichen. Das hat sich aber nicht eingebürgert, und so redet man bei einem Kleinbildsensor von einem 50mm Objektiv statt von einem 47° Objektiv. In der oben stehenden Tabelle sind zu den jeweiligen Brennweiten und Äquivalentbrennweiten auch die entsprechenden (diagonalen) Bildwinkel aufgelistet. Der Bildwinkel berechnet sich wie folgt:

wobei d die Formatdiagonale und f die Brennweite darstellt.
Bei Kompaktkameras wird die Sensorgrösse leider sehr kryptisch angegeben. Meine Ricoh GX200 hat zum Beispiel einen 1/1.7“ Sensor. Man könnte nun meinen, das hätte etwas mit der Diagonalen des Sensors zu tun. Da ist man schon auf dem richtigen Weg, allerdings ist der Wert der Durchmesser einer in den 50er Jahren verwendeten Fernsehröhre, und damit der Sensor da reinpasst muss er etwa 2/3 dessen Durchmesser haben. Ein 1/1.7“ Sensor hätte dann also eine Diagonale von (1/1.7*25.4*0.66)mm=9.9mm. In Wirklichkeit ist der Sensor aber nur 9.2mm, aber immerhin, wir waren schon nahe dran. Viel einfacher ist das Berechnen der Sensorgrösse in dem man die Angaben des Herstellers bzgl. der Äquivalentbrennweite verwendet. Bei der Ricoh GX200 entspricht ein 5.1mm Objektiv einer 24mm Brennweite im Kleinbildformat, das ist ein Faktor 4.7. Also hat der Sensor eine Kantenlänge, die 4.7mal kleiner ist als im Kleinbildformat, also 5.1mm x 7.7mm. In der untenstehenden Tabelle sind ein paar Kameras mit verschiedenen Sensorgrössen verglichen:


Aus der Tabelle liest man, dass der Chip der GX200 verglichen mit einem Kleinbildsensor nur 5% dessen Oberfläche besitzt, also eine 20mal kleinere Fläche! Schon eine APS-C Kamera hat eine Oberfläche die 40% dessen eines Kleinbildsensors beträgt, also 2.5mal kleiner (siehe dazu auch die obenstehende Grafik). Und trotzdem hat z.B. die GX200 und die M8 eine vergleichbare Auflösungen, i.e. Anzahl Megapixel. Das wirkt sich zwangsläufig auf die Grösse der Pixel aus:

Die Pixelfläche wurde unter der Annahme berechnet, dass zwischen den Pixeln kein Abstand besteht. Das entspricht nicht ganz der Wahrheit, kann aber hier vernachlässigt werden, auf die paar % kommt es uns hier nicht an. Die Pixelgrösse der EOS 5DMK2, eine Kamera mit einem Kleinbildsensor, wurden auf 100% gesetzt, die Pixel der GX200 haben eine Oberfläche die 12.5mal (8%) kleiner ist, die Pixel einer M8 sind leicht grösser (1.2mal). Das ist der Grund, warum Kompaktkameras bei leicht erhöhter ISO Zahl schon anfangen zu rauschen. Kann man eine 5DMK2 ohne Qualitätseinbussen bei ISO400 verwenden, rauscht das bei einer Kompaktkamera schon ganz gehörig. Ich möchte darauf nicht weiter eingehen, das Rauschen wurde schon genügend in anderen Publikationen betrachtet.



Zerstreuungskreis
Wann ist eine Abbildung scharf? Dahinter steckt ein Konzept Namens Zerstreuungskreis. Das ganze Konzept basiert darauf, dass der Mensch eine gewisse Bildgrösse in einem gewissen Abstand überblicken kann. Daraus resultiert ein Betrachtungswinkel von 50°, das ist z.B. wenn man die Diagonale eines A4 Blattes aus einem Abstand von 40cm betrachtet. Das Menschliche Auge hat eine Auflösung von ca. 2 Winkelminuten und da 50° 3000 Winkelminuten sind ist das 1/1500 der Diagonale (z.B. das A4 Blattes). Und genau diesen Bruchteil kann man nun als maximale Unschärfe auf dem Film betrachten, ein 1/1500 der Diagonale des Filmformates. Für konventionelle Filme bedeutet das folgendes:

Bei einem 8“x10“ Film darf also der Unschärfekreis ca. 0.2mm (also 200um) betragen, bei einem Kleinbildfilm nur 0.03mm (also 30um). Und weil man beim Abblenden durch Streuung and den Blendenlamellen Unschärfe erzeugt wird der Zerstreuungskreis mit zunehmender Blende grösser. Und darum ist die maximal einstellbare Blende vom Format abhängig. Bei einem Kleinbildsystem ist es normalerweise Blende 16 oder 22 (manche Makroobjektive erlauben auch Blende 27), bei einem Grossformatsystem ist es aber oft Blende 64.
Und bei Digitalkameras gilt genau das gleiche. Wie wir in der untenstehenden Tabelle sehen errechnet sich der Zerstreuungskreis z.B. bei der Ricoh GX200 auf ca. 3um, also 10mal kleiner als beim Kleinbildformat. Bei all diesen Kameras ist ein Pixel kleiner als der Zerstreuungskreis, die Pixelgrösse ist also nicht der limitierende Faktor.

Äquivalentblende
Ein sehr wichtiger Einfluss der Sensorgrösse ist der auf die Blende bzw. auf das Verhältnis Blende / Tiefenschärfe. Ist die Äquivalentbrennweite ein Begriff der weit verbreitet ist, hört man den Begriff Äquivalentblende sehr selten. Die Äquivalentblende gibt die Blende eines Kleinbildsystems an, bei der man die gleiche Tiefenschärfe erreicht wie bei der verwendeten Blende beim eingesetzten Sensor. Die Äquivalentblende berechnet sich ebenfalls in dem man ganz einfach die verwendete Blende mit dem Crop Faktor multipliziert. Verwendet man also ein 50mm Objektiv bei Blende 4.0 an einer APS-C Kamera, entspricht das einem 80mm Objektiv bei Blende 6.4. Man ‚verliert’ (oder ‚gewinnt’, je nachdem ob man mehr oder weniger Tiefenschärfe braucht) also mehr als eine Blende. Eine Blendenstufe entspricht ja einem Multiplikator von Wurzel(2), also ca. 1.4, also würde man bei einem Crop Faktor von 1.4 genau eine Blende gewinnen/verlieren. Zur Übersicht ist untenstehend die Blendenreihe in halb und drittel Blendenstufen dargestellt:

Da Abblenden meist kein Problem darstellt ist das Problem der kreativen Tiefenschärfe-Reduktion schon wesentlicher. Das ist auch der Grund, warum man mit einer Grossformatkamera so wunderbare Aufnahmen mit einem Hauch von Tiefenschärfe machen kann. Ein 4“ x 5“ Format hat ja eine ‚Crop’ Faktor (bezogen auf die Diagonale) von 0.27. Blende 5.6 entspricht also 1.5. Bei einem 8“ x 10“ Format ist der ‚Crop’ Faktor 0.13, Blende 5.6 entspricht dann Blende 0.7!

Aber wie sieht es bei einer Kompaktkamera aus? Die untenstehende Tabelle zeigt die Äquivalentblenden und Äquivalentbrennweiten der erwähnten Ricoh GX200:

Bei 50mm ist die grösste Blende 3.5, das entspricht einer Blende von 16.5 im Kleinbildformat, nicht gerade ein Renner! Bei meiner M8 kann ich oft nur bis Blende 16 abblenden. Deswegen ist es schön und gut wenn Hersteller bei ihren Kompaktkameras mit Blende 2.8 angeben; leider hilft das bzgl. der Tiefenschärfe nur wenig. Dafür kann man mit einer Ricoh GX200 bei 72mm Äquivalentbrennweite auf eine Äquivalentblende 74 abblenden!
Aber dennoch bleibt der verfügbare Blendenbereich bei einer Kompaktkamera klein. Kann man z.B. bei einem Leica Summicron zwischen Blende 2.0 und 16.0 wählen, also einem Bereich von 6 Blenden, sind es bei der Ricoh GX200 nur knapp 4 Blenden (z.B. 3.5-12.4 bei 10.6mm).
Bildbeispiele
Doch wollen wir uns all das in Bildbeispielen anschauen. Dazu habe ich drei Kameras mit verschiedenen Sensoren verglichen:

Das erste Bespiel zeigt alle Kameras mit Äquivalentbrennweite 50mm, also mit 35, 50 und 10.6mm (M8, 5DMK2, GX200), alle bei Blende 3.5 (bzw. 3.4, die M8 hat keine Drittel-Blendenstufen):



Wie erwartet zeigt die 5DMK2 die kleinste Tiefenschärfe, gefolgt von der M8. Die GX200 hat schon bei voller Öffnung eine schöne Tiefenschärfe. Wollen wir nun aber bei allen drei Objektiven die gleiche Tiefenschärfe erreichen, müssen wir verschieden abblenden:




Wie die Serie wunderbar zeigt, sind die Tiefenschärfebereiche nun praktisch bei allen drei Kameras gleich. Die GX200 zeichnet vielleicht noch einen Tik unschärfer, das mag daran liegen, dass die Kamera beim Test nicht exakt gleich ausgerichtet war. Das ist darauf zurückzuführen, dass die Kameras eine unterschiedliche Grösse aufweisen und es dadurch schwer ist, die Sensormitte im Raum genau am gleichen Ort zu platzieren. Aber es geht hier ja nicht um solche Details. Die Frage bleibt, ob das GX200 Objektiv überhaupt die Abbildungsleistung bringen kann wie ein Kleinbildobjektiv.
Objektivtest
Die folgenden Vergleichsfotos sollen die Qualitätsunterschiede zwischen einer Kompaktkamera und einer Kamera mit einem APS-C Sensor aufzeigen. Natürlich ist dieser einfache Test nur exemplarisch, und man sollte auch nicht vergessen, dass ein Objektiv für einen grösseren Sensor mehr Licht durchlassen muss als ein Objektiv für einen kleineren Sensor bei gleicher Blende. Obwohl zwei Objektive also die gleiche Blendenzahl haben, wir der Lichtfluss bei einem Objektiv viel höher sein. Die Lichtstärke eines Objektives lässt sich also nur anhand der Blendenzahl vergleichen, wenn man Objektive vergleicht, die für den gleichen Sensor gebaut wurden, die also den gleich grossen Bildkreis ausleuchten.
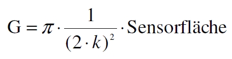
Um die Lichtstärke verschiedener Objektive für verschieden Formate zu vergleichen, zieht man den Lichtwert eines Objektives heran. Dieser berechnet sich aus der maximalen Öffnung und dem Bildkreisradius, also der vom Objektiv ausgeleuchteten Fläche. Die genaue Formal heisst:

G ist der Lichtwert, k die maximale Blendenzahl und statt der Sensorfläche setzt man den Bildkreis ein. Damit ergeben sich folgende Werte für die hier besprochenen Sensorgrössen:

Setzt man nun ein Objektiv mit Blende 2 am Vollformat-Sensor auf 100% erhält man folgende Tabelle:

Vergleichen wir zuerst Objektive am gleichen Sensor: Eine Blende
weniger bedeutet also halb so viel Licht. Wie man aus der Formel oben
ableiten kann ist der Lichtwert bei gleicher Sensorfläche also
nur von der Blendenzahl abhängig; diesen Vergleich der
Lichtstärken verschiedener Objektive sind wir bereits gewohnt.
Vergleicht man aber verschiedene Sensoren sieht man, dass ein Objektiv
auf einen APS-C Sensor nur 57% des Lichtes wirft wie ein Objektiv auf
den Vollformatsensor bei gleicher Blendenzahl. Beim Sensor der GX200
sind es nur 4.5%.
Vergleicht man nun ein Objektiv an der GX200 bei Blende 3.5 mit einem
Objektiv an einem Vollformatsensor bei Blende 2.0, so muss das
Kompaktobjektiv nur 1.5% des Lichtes durchlassen, wie das Objektiv des
Vollformatsensors. Das ist fast die gleiche Lichtmenge wie ein
Objektiv bei Blende 16 auf einen Vollformatsensor lässt! Die
Leica M8 Objektive sind alle vollformatfähig weshalb ich hier zum
Vergleich des Lichtwertes nicht den Crop-Faktor 1.3 verwende. Wir
vergleichen also Objektive, die in ihrer Anfangsöffnung um ca. 6
Blenden auseinander liegen.
Doch schauen wir uns die Resultate an. Zuerst zwei Ausschnitte aus GX200 Aufnahmen bei 10.6mm (entspricht 50mm beim Vollformat) und Blende 3.5 und Blende 4.9 (eine Blende abgeblendet) und danach zwei Aufnahmen mit einem Leica Summicron 35mm ASPH (entspricht ebenfalls ca. 50mm beim Vollformat) bei Blende 2.0 und 2.8.




Hätten wir nicht den Hintergrund der Diskussion mit dem Lichtwert oben, würden wir die Welt nicht mehr verstehen! Warum kann ein Kompaktobjektiv praktisch die gleiche Leistung bringen wie ein hoch korrigiertes Leica-Objektiv. Der 6 Blenden (das ist 64mal mehr Licht!) Unterschied in der Anfangsöffnung erklärt alles.
Links zum Thema
Objektive
Objektivkodierung
Sucherkamera